鈦合金具有良好的高溫綜合性能,抗疲勞、抗氧化和耐腐蝕性能優異,被廣泛用于制備航空航天、船舶等領域中的關鍵構件[1]。但由于鈦合金在室溫下存在成形抗力大、塑性差和回彈大等問題,常采用熱加工技術進行制造。武永等[2] 綜述了多種針對鈦合金薄壁構件的熱成形工藝,其中超塑氣脹成形技術是近年來發展起來的一種先進工藝方法,具有成形效率高、適用性強、綠色環保等優點,可將簡單形狀坯料直接成形為整體復雜曲面零件。Li 等[3] 研究了超塑脹形過程中摩擦系數、應變速率敏感系數和應變速率等對板料厚度分布的影響。Alabort 等[4] 基于黏塑性模型預測了TC4鈦合金多層板在超塑氣脹成形過程中幾何形狀、應變分布、晶粒尺寸和損傷分數的演變規律。Fan 等[5] 通過開展超塑氣脹成形試驗發現,在熱成形過程中,不同的應變路徑會顯著影響鈦合金的微觀組織、織構演變及變形機制,進而改變宏觀力學性能及成形零件質量。此外,Li[6]和 Wu[7] 等通過高溫單軸拉伸試驗發現近 α 鈦合金板材由于具有強烈的軋制織構,在高溫塑性變形時仍然表現出明顯的各向異性。因此,有必要對不同雙拉應變路徑下鈦合金板材的高溫力學性能及各向異性行為進行系統研究,這對于優化成形工藝和提高有限元精度具有重要的指導意義。

TA32鈦合金是中科院金屬研究所在 Ti55合金基礎上改進的一種近α型高溫鈦合金,已被用于研制國內先進航空發動機的加力燃燒室筒體和尾噴管結構件[8]。
本文通過開展高溫氣脹成形試驗研究了TA32鈦合金板材的超塑脹形性能。設計了4種具有不同短長軸比的橢圓模具以實現不同的應變路徑,板材的軋向 (Rolling direction,RD)和橫向 (Transverse direction,TD)分別與模具長軸平行以研究變形各向異性。分析了脹形試樣頂點的應變分量、壁厚和曲率半徑與脹形高度之間的定量關系。基于非關聯流動法則下的 Barlat’89 屈服準則對 TA32板材脹形過程中的等效應力進行了求解,并分析了不同應變路徑下試樣頂點處的等效應力-應變曲線和等效應變速率。
1、 超塑脹形性能試驗
試驗材料為寶鈦集團生產的0.8mm厚近α型TA32鈦合金軋板,名義成分為 Ti-5.5Al-3.5Sn-3.0Zr-0.7Mo -0.3Si-0.4Nb-0.4Ta(質量分數,%)[8]。通過激光切割制備直徑為 90 mm 的圓形試樣,并用砂紙打磨試樣表面去除邊緣毛刺。為了測量脹形試樣的應變分布,采用電蝕刻打標機在試樣表面印制線寬0.02mm×邊長 2mm的方形網格。
在自主設計的成形裝置上對 TA32鈦合金薄板進行超塑氣脹成形試驗,裝置示意如圖 1 所示。首先通過加熱爐將上、下模具加熱至成形溫度 (800 ℃),采用 3 個K 型熱電偶實時監測上模座、模具和下模座的溫度。然后,將涂有高溫防氧化劑的圓形試樣 (直徑 90 mm)置于模具之間,保溫 15 min 后通過夾緊模具來密封腔體。

將高壓氣體從下模座中的孔道沿指定加載曲線施加于試樣的下表面,使其發生塑性變形。同時,在下模座型腔中放置了大量陶瓷球,一方面減小板料中部和板料與模具接觸區域之間的溫度差異,另一方面降低低溫高壓氣體對試樣表面的溫降影響。在試驗過程中,脹形高度由位移傳感器實時監測,加載氣壓由電動比例調節閥控制,并通過壓力傳感器實時記錄。
為了研究不同應變路徑下的脹形性能,設計了 4 套具有不同橢圓型腔結構的模具,如圖 2(a)~(d)所示。

模具長軸平行于 X 軸,短軸平行于 Y 軸。變形區域的長軸為 60 mm,短長軸比用 λ 表示,4 套模具的短長軸比分別為 1、3/4、2/4 和 1/4。不同模具代表的雙軸拉伸應變路徑的示意圖見圖 2(e),分別標記為路徑 1~4。為了分析 TA32 板材在超塑脹形條件下的各向異性行為,在脹形過程中使得試樣的 RD 和 TD 分別平行于模具的長軸 (X 軸)方向。
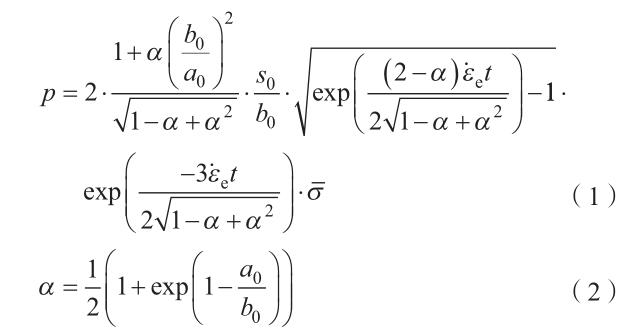
采用 Banabic[9] 和 Siegert[10] 等提出的氣壓加載方程,使得試樣頂點在脹形過程中保持恒定等效應變率變形。

式中,p為脹形壓力;a0 和 b0 分別為模具型腔的半長軸和半短軸長度;s0 為初始板厚;t 為脹形時間;α 為主應力比值的無量綱常數;ε.e 為等效應變速率;σ- 為對應于單軸拉伸期間特定應變速率的等效流動應力。根據本課題組之前的研究結果[11],TA32 板材在 800 ℃下以0.001 s–1 應變速率變形時表現出良好的超塑性,因此本文設定試樣頂點在脹形過程中的等效應變速率為 0.001s–1,相應的等效流動應力約為 120 MPa。圖 3 為 TA32板材在不同應變路徑下的脹形壓力加載曲線。可以看出,恒應變速率脹形氣壓先快速增加后緩慢減小,氣壓減小的原因是由于板料發生了局部軟化。同時,隨著模具短長軸比的減小,脹形壓力顯著增加。

2、 脹形過程分析模型
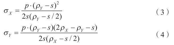
由于板厚與模具直徑之比小于 0.02,采用薄膜理論分析脹形試樣頂點應力[12]。為簡化計算,提出以下近似假設: (1)法向應力和彎曲應力等于 0; (2)壁厚分布均勻; (3)在兩個正交方向上的應力分量是均勻的,且垂直于相應截面; (4)外表面曲率半徑在微元體范圍內均勻分布,根據法向方向的力平衡方程,試樣頂點處的應力分量可表示為[13]

式中,s 為試樣頂點的當前壁厚;ρX 和 ρY 為試樣外表面沿 X 和 Y 軸的曲率半徑。
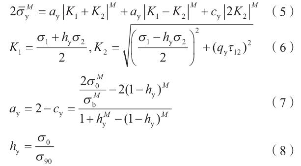
等效應力通過合適的屈服準則轉化主應力來獲得,本文選取適用于各向異性金屬板的 Barlat’89 屈服準則來描述 TA32 板材的屈服行為[14]。為了使等效應力預測結果更加準確,采用非關聯流動法則下的 Barlat’89屈服準則進行求解,在平面應力狀態下可表示為[15]

式中,σ- 為等效應力;上標 M 為冪指數;K1、K2 為方程參數;σ1、σ2 為第 1 和第 2 主應力;τ 為剪切應力;ay、cy 和hy 為材料參數;考慮到在脹形過程中試樣頂點的剪應力接近于 0,故參數 qy 可忽略不計;σ0 和 σ90 分別為 TA32板材平行 RD 和垂直 RD 單軸拉伸時的屈服應力[16] ;σb為等雙拉時的屈服應力,可近似表示為 σb =(σ0 + σ90)/2。
表 1 列出了非關聯流動法則下 Barlat’89 屈服準則中的材料參數。

利用塑性功相等原則計算等效應變增量[17] 為

式中,wp 是單位體積內的塑性功增量;dεX 和 dεY 是沿 X和 Y 軸的應變增量。等效應變可通過對增量積分得到。
由式 (3)可知,應力分量的求解依賴于試樣頂點的主曲率半徑 (ρX、ρY)。在本研究中,假設脹形試樣的長軸截面輪廓近似為圓形,通過考慮模具圓角半徑的影響,試樣頂點處沿長軸的曲率半徑可表示為[18]

式中,ρ0 為模具圓角半徑;h 為脹形高度。
根據 Chen[19] 的研究結果,脹形試樣主曲率半徑之比與模具短長軸比之間的關系可表示為

式中,參數 c1 用于反映材料的各向異性,由路徑 1 下脹形試樣的主曲率半徑之比得到;參數 c2 為不同應變路徑對曲率半徑的影響因子,通過擬合路徑 2~ 4 下脹形試樣的主曲率半徑得到。
3 、結果與討論
圖 4 為 TA32 板材在 800 ℃下沿不同應變路徑脹形至不同階段的試驗結果。試樣軋向與模具長軸方向平行。圖 5 為不同路徑下試樣頂點處的脹形高度與時間之間的關系??梢钥闯雒浶胃叨仍谧冃纬跗谘杆僭黾?,增長速率隨著變形的發展而逐漸減慢。當變形到最后階段時,脹形高度在短時間內迅速增加,直到試樣破裂。



同時,脹形高度隨模具短長軸比的減小而減小。當試樣 RD 平行于 X 軸時,路徑 1~ 4 的極限脹形高度分別為33.1 mm、28.1 mm、25.3 mm 和 20.4 mm;當試樣 TD 平行于 X 軸時,路徑 2~4 的極限脹形高度分別為 30.8mm、26.9mm 和 22.2mm,這表明 TA32 板材在高溫脹形試驗中具有明顯的變形各向異性。
通過測量脹形試樣頂點區域變形網格的應變分布,得到了不同應變路徑下試樣頂點處應變分量 (εX、εY)和脹形高度之間的對應關系,并用二次多項式對其進行擬合,如圖 6 所示 (上標“RD//X ”和“TD//X ”表示兩個不同的試樣,下標“X ”和“Y ”表示應變分量對應的方向)。
隨著脹形高度的增加,應變增量逐漸增大。當使用圓形模具脹形時,短軸方向上應變略小于長軸方向上應變;當使用橢圓模具脹形時,短軸方向上應變大于長軸方向上應變,且差值隨模具短長軸比的減小而增加。此外,與 RD//X 試樣相比,在相同脹形高度下,TD//X 試樣在短軸方向上的應變更大,而在長軸方向上的應變更小。
這種各向異性行為可能與原始軋板中的織構分布密切相關[7]。圖 7[7] 顯示了由 Channel 5 軟件繪制的 TA32鈦合金板材的 (0001)、(101-0)和 (112-0)極圖,可以看出,原始板材中存在著大量的橫向織構(Transverse),即圖 7 中 T 所在位置。

根據材料不可壓縮假設,進一步得到不同應變路徑下試樣頂點壁厚和脹形高度之間的關系,如圖 8 所示。
試樣減薄率隨著脹形高度的增加而快速增加,且隨著模具 λ 值的減小,試樣壁厚在相同脹形高度下明顯減小。
同時,與 RD//X 試樣相比,TD//X 試樣在相同變形條件下具有更大的變形能力,表明當 RD 平行于第一主應變方向時,TA32 板材在高溫雙拉條件下表現出更好的塑性。
圖 9 顯示了不同應變路徑下試樣頂點曲率半徑和脹形高度之間的關系(其中符號點表示試驗值),通過采用高度尺分別構建脹形試樣沿 X 和 Y 軸的截面輪廓,并擬合二次曲線方程獲得。結合式 (11),c1 和 c2 的數值分別為 1.07 和 1.15,理論計算的曲率半徑如圖 8 所示。可以看出預測結果與試驗結果吻合較好。隨著脹形高度的增加,試樣頂點曲率半徑先快速降低后緩慢降低,且在短軸方向上減小速度更快。隨著變形的進行,短軸方向上的曲率半徑逐漸趨近于模具的半短軸長度。隨著模具 λ 值的減小,沿長軸方向的曲率半徑接近,但沿短軸方向的曲率半徑不斷減小。此外,當使用同一套模具脹形至相同高度時,RD//X 和 TD//X 試樣的曲率半徑幾乎相同,這意味著曲率半徑主要取決于模具型腔結構,與板材取向無關。

根據上文的分析,基于 Barlat’89 屈服準則 (式 (5))并結合上述試驗數據計算了不同應變路徑下試樣頂點處的等效應力 – 應變曲線,如圖 10 所示??梢钥闯隽鲃討υ谧冃纬跗谘杆龠_到峰值,隨后由于動態再結晶和損傷積累而逐漸下降,表現出明顯的流變軟化行為。隨模具 λ值的減小,即路徑 1~ 4,材料的峰值應力升高,流變軟化增強,延伸率降低,表明當應變路徑由等雙拉過渡到平面應變時,材料的成形性能不斷下降。另外,力學性能表現出明顯的各向異性,當板材 TD 與模具長軸平行時,材料具有更低的峰值強度和更高的塑性,即當板材 RD 與第一主應變方向平行時,TA32 板材具有更好的成形性。
式 (6)計算了試樣頂點在不同應變路徑下脹形時的等效應變速率,如圖 11 所示,可以發現在脹形過程中應變速率主要分為3個階段:快速下降、穩定波動和加速上升。

但是,不同路徑下的應變速率均低于目標設定值,這意味著通過式 (1)計算得到的壓力加載曲線無法滿足 TA32板材的恒應變速率脹形,未來需要開發適用性更強的理論模型來準確預測超塑氣脹成形過程中的加載壓力。
4、 結論
(1)TA32鈦合金板材的超塑氣脹成形性能表現出強烈的應變路徑依賴性。當應變路徑從等雙軸拉伸轉變為近平面應變時,板材極限脹形高度減小,峰值應力增加,延伸率降低,成形性能下降。
(2)TA32鈦合金板材在超塑成形條件下表現出顯著的各向異性行為。當板材 RD 平行于第一主應變方向時,材料具有更低的峰值應力和更高的塑性,表現出更好的成形性。
參 考 文 獻
[1] YUAN S J. Fundamentals and processes of fluid pressure forming technology for complex thin-walled components[J]. Engineering,2021, 7(3): 358–366.
[2] 武永 , 陳明和 . 鈦合金薄壁件熱塑性成形工藝研究進展 [J].航空制造技術 , 2021, 64(20): 78–87.
WU Yong, CHEN Minghe. Progress of hot metal plastic forming technology for titanium alloy thin-walled parts[J]. Aeronautical Manufacturing Technology, 2021, 64(20): 78–87.
[3] LI G Y, TAN M J, LIEW K M. Three-dimensional modeling and simulation of superplastic forming[J]. Journal of Materials Processing Technology, 2004, 150(1–2): 76–83.
[4] ALABORT E, PUTMAN D, REED R C. Superplasticity in Ti–6Al–4V: Characterisation, modelling and applications[J]. Acta Materialia,2015, 95: 428–442.
[5] FAN R L, WU Y, CHEN M H, et al. Analysis of texture evolution and slip activity of a near-α titanium alloy sheet under different biaxial-tension strain paths[J]. Journal of Materials Research and Technology, 2022, 20: 2905–2920.
[6] LI W Y, CHEN Z Y, LIU J R, et al. Effect of texture on anisotropy at 600 ℃ in a near-α titanium alloy Ti60 plate[J]. MaterialsScience and Engineering: A, 2017, 688: 322–329.
[7] WU Y, FAN R L, CHEN M H, et al. High-temperature anisotropic behaviors and microstructure evolution mechanisms of a near-α Ti–alloy sheet[J]. Materials Science and Engineering: A, 2021, 820: 141560.
[8] 王清江 , 劉建榮 , 楊銳 . 高溫鈦合金的現狀與前景 [J]. 航空材料學報 , 2014, 34(4): 1–26.
WANG Qingjiang, LIU Jianrong, YANG Rui. High temperature titanium alloys: Status and perspective[J]. Journal of Aeronautical Materials,2014, 34(4): 1–26.
[9] BANABIC D, VULCAN M, SIEGERT K. Bulge testing under constant and variable strain rates of superplastic aluminium alloys[J].CIRP Annals, 2005, 54(1): 205–208.
[10] SIEGERT K, J?GER S, VULCAN M. Pneumatic bulging ofmagnesium AZ 31 sheet metals at elevated temperatures[J]. CIRP Annals,2003, 52(1): 241–244.
[11] WU Y, FAN R L, QIN Z H, et al. Shape controlling and property optimization of TA32 titanium alloy thin-walled part prepared by hot forming[J]. Transactions of Nonferrous Metals Society of China,2021, 31(8): 2336–2357.
[12] REIS L C, OLIVEIRA M C, SANTOS A D, et al. On the determination of the work hardening curve using the bulge test[J]. International Journal of Mechanical Sciences, 2016, 105: 158–181.
[13] HE Z B, ZHU H H, LIN Y L, et al. A novel test method for continuous nonlinear biaxial tensile deformation of sheet metals by bulging with stepped-dies[J]. International Journal of Mechanical Sciences, 2020, 169: 105321.
[14] BARLAT F, LIAN K. Plastic behavior and stretchability of sheet metals. Part I: A yield function for orthotropic sheets under plane stress conditions[J]. International Journal of Plasticity, 1989, 5(1): 51–66.
[15] MIN J Y, CARSLEY J E, LIN J P, et al. A non-quadratic constitutive model under non-associated flow rule of sheet metals with anisotropic hardening: Modeling and experimental validation[J]. International Journal of Mechanical Sciences, 2016, 119: 343–359.
[16] FAN R L, WU Y, CHEN M H, et al. Prediction of anisotropic deformation behavior of TA32 titanium alloy sheet during hot tension by crystal plasticity finite element model[J]. Materials Science and Engineering:A, 2022, 843: 143137.
[17] REIS L C, PRATES P A, OLIVEIRA M C, et al. Anisotropy and plastic flow in the circular bulge test[J]. International Journal of Mechanical Sciences, 2017, 128–129: 70–93.
[18] AKSENOV S, SORGENTE D. Determination of biaxial stress–strain curves for superplastic materials by means of bulge forming tests at constant stress[J]. CIRP Journal of Manufacturing Science and Technology, 2020, 31: 618–627.
[19] CHEN K. A general and unified theory of the kinematic relationships in bulge tests[J]. Journal of the Mechanics and Physics of Solids, 2020, 143:104086.
通訊作者:武永,副教授,工學博士,研究方向為鈦合金超塑成形 / 擴散連接工藝及裝備、高溫成形多尺度建模。
相關鏈接
- 2023-11-09 細晶TA15鈦合金板材制備工藝及其超塑性研究
- 2023-10-20 TA15鈦合金板材微觀組織及疲勞性能研究
- 2023-10-14 TA15鈦合金中板組織與力學性能研究
- 2023-10-07 航空船舶用鈦合金板材制備技術的現狀及展望
- 2023-10-03 利泰金屬定制航空船舶制造用TA15鈦合金板 Ti80鈦鍛件 TA9鈦棒 庫存充足 廠家直供
- 2023-09-25 退火溫度對TC2鈦合金板材的組織和硬度的影響
- 2023-09-22 TA15鈦合金板材微觀組織及疲勞性能研究
- 2023-09-13 定制船舶航空用TC4鈦合金棒 TA5鈦合金板 鈦合金鍛件 庫存充足
- 2023-08-28 利泰金屬現貨供應TA5/TA15/TC2/BT6/Ti150等特殊牌號鈦合金板 鈦合金棒
- 2023-08-25 現貨供應深海船舶用鈦合金板 鈦合金絲 鈦合金鍛件 規格齊全 批量價優

